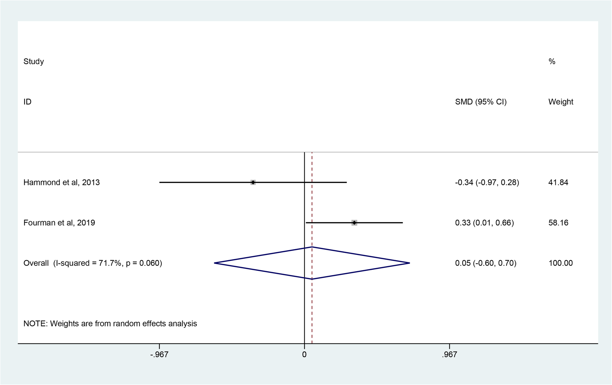
Fig. 4From: Resurfacing hemiarthroplasty versus stemmed hemiarthroplasty for glenohumeral osteoarthritis: a meta-analysisForest plot comparing ASES scores after resurfacing hemiarthroplasty (RHA) versus stemmed hemiarthroplasty (SHA)Back to article page